[충청뉴스 이성현 기자] 단순 알켄에서 의약품 핵심 원료인 ‘시스-아지리딘’을 전기화학 방식으로 직접 합성하는 신기술이 국내 연구진에 의해 개발됐다.
한국연구재단은 포스텍 김현우 교수 연구팀이 전기화학 반응 제어를 통해 전구체 설계 과정 없이 말단 알켄으로부터 시스-아지리딘을 합성하는 데 성공했다고 8일 밝혔다.
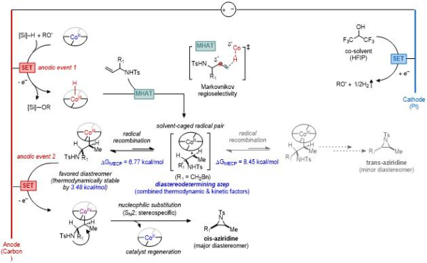
높은 반응성을 지닌 아지리딘은 의약품 및 유기합성 공정에서 필수적인 중간체로 광범위하게 사용된다.
연구팀은 코발트 촉매와 전기화학 산화 기법을 도입해 반응 속도를 끌어올렸으며, 고리 형성 단계를 최적화해 합성 효율과 입체 선택성을 획기적으로 개선했다.
특히 밀도범함수이론(DFT) 계산으로 시스-생성물 중간체의 안정성을 이론적으로 증명한 연구팀은 멘톨 등 복잡한 화합물에도 아지리딘을 성공적으로 결합시키며 기술의 높은 범용성을 입증했다.
또 전기를 이용한 친환경 공정으로 설계된 이 기술은 단일 단계로 그램 단위 양산이 가능해 향후 산업적 대량 생산으로의 확장 가능성도 확보했다.
김현우 교수는 “이번 연구는 전기화학으로 반응 경로를 정밀 제어해 기존에 불가능했던 입체선택적 합성을 구현한 사례”라며 “앞으로 유기합성의 반응 경로 설계 방식 자체를 바꾸는 새로운 패러다임을 구축해 나갈 계획”이라고 말했다.
저작권자 © 충청뉴스 무단전재 및 재배포 금지

