[충청뉴스 이성현 기자] 국내 연구진이 스마트폰·웨어러블의 한계를 넘어 가정 내 IoT 데이터를 통해 일상 리듬이 흐트러질수록 정신건강이 악화되는 핵심 신호임을 밝혀냈다.
한국과학기술원(KAIST)은 전산학부 이의진 교수 연구팀이 가정 내 사물인터넷(IoT) 센서 데이터를 활용해 개인의 정신건강 상태를 정밀하게 추적할 수 있는 가능성을 입증했다고 21일 밝혔다.
정신건강 관리를 위해선 자신의 상태를 꾸준히 파악하는 것이 중요하지만 기존의 스마트폰이나 웨어러블 기반 추적 방식은 사용자가 기기를 착용하거나 소지하지 않는 집 안에서는 데이터가 누락되는 한계가 있었다.
이에 연구팀은 가정 내 환경 데이터에 주목했다. 청년층 1인 가구 20세대를 대상으로 4주간 실증 연구를 진행하며 가전제품과 수면 매트, 움직임 센서 등을 설치해 IoT 데이터를 수집하고, 스마트폰·웨어러블 데이터와 함께 분석했다.
그 결과 IoT 데이터를 함께 활용할 때 정신건강의 변화를 기존 방식보다 훨씬 정확하게 포착할 수 있음을 확인했다. 예를 들어 수면 시간 감소는 우울·불안·스트레스 수준 증가와 밀접하게 연관됐으며, 실내 온도 상승 또한 불안 및 우울과의 상관관계를 보였다.
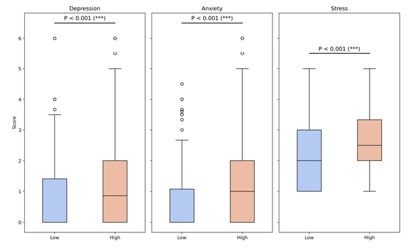
참가자들의 행동 패턴은 스트레스 상황에서 냉장고 사용이 늘어나는 ‘폭식형’, 활동량이 급감하는 ‘무기력형’ 등으로 다양했지만, 공통적으로 생활 패턴이 불규칙할수록 정신건강이 악화되는 경향이 뚜렷하게 나타났다.
특정 행동의 빈도보다 일상 패턴의 변동성이 더 중요한 요인으로 확인됐으며, 이는 규칙적인 생활이 정신건강 유지에 핵심적임을 시사한다.
이의진 교수는 “이번 연구는 가정 내 IoT 데이터가 개인의 생활 맥락 속에서 정신건강을 이해하는 중요한 단서가 될 수 있음을 보여줬다”면서 “향후 AI를 활용해 개인별 생활 패턴을 예측하고 맞춤형 코칭이 가능한 원격 의료 시스템 개발로 발전시킬 계획”이라고 설명했다.

